GC6PBCB Unknown Cache Silicium #12
Typ: Mystery | Größe: Klein/Small Small | Schwierigkeit: 3 von 5 | Terrain: 1,5 von 5
Von: fräulein_bezaubernd @ (Gefunden=33514 Versteckt=181, Stand: 09.04.2026) | Hide Date: 30.07.2016 | Status: Verfügbar
Land: Deutschland | Bundesland: Sachsen | Landkreis: Meißen
Koordinaten: N51° 17.765 E13° 24.925 (Korrigiert) | Zuletzt aktualisiert: 19.03.2026 | Favoritenpunkte: 22
Zecken  Nicht Rollstuhltauglich  Parkplätze verfügbar 
 Geocache-Fotos

Foto
Foto


Silicium #12

A

Dieser Cache ist dem Element Silicium gewidmet, sowie dem Produktionsstandort Nünchritz und den Menschen, die mit dem Element und dem Standort verbunden sind.
Doch vor dem Cache eine Warnung:

A
DAS BETRETEN DES EINGEZÄUNTEN FIRMENGELÄNDES IST
NICHT NOTWENDIG UND VERBOTEN!!!
Die Listing - Koordinaten haben nichts mit der Lage der Dose zu tun!!!


Nun zur Dose

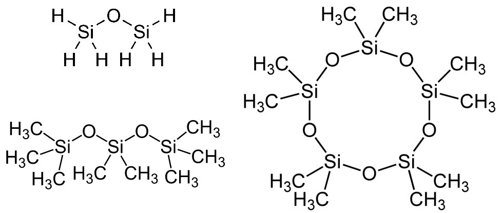
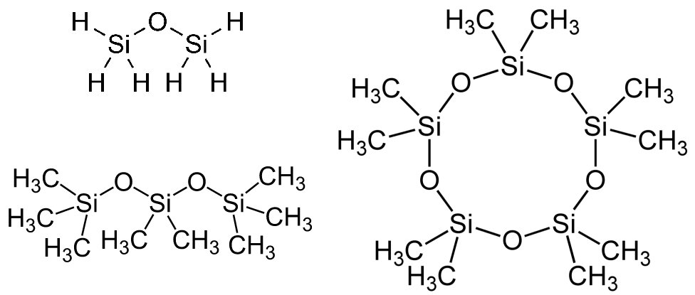
Siloxane / Silikone

Mit die bedeutensten Verbindungen des Siliciums sind die Siloxane. Gewonnen werden diese durch die Reaktion von Chlormethylsilanen aus dem Müller-Rochow-Verfahren mit Wasser. Dabei wird das Chlor durch das Wasser verdrängt. Durch die dann folgenden Kondensationsreaktionen werden eine nahezu endlose Vielzahl von Stoffen zugänglich.



Vor allem die hochmolekularen Verbindungen eignen sich hervorragend zur Herstellung von Kunststoffprodukten. Aufgrund ihrer chemischen Struktur zeigen diese Produkte eine sehr hohe Temperaturstabilität bei gleichzeitiger hoher Flexibilität. Diese Eigenschaften werden von Produkten auf Kohlenstoffbasis nur schwierig erreicht. Grund ist die unterschiedliche Bindungsgeometrie des Siliciums zum Kohlenstoff. Während der Bindungswinkel bei C-O-C Bindungen ca. 110° beträgt ist dieser bei Si-O-Si wesentlich größer. Die Rotationsenergie um die Si-O-Si Bindung ist sehr gering. Das ermöglicht die leichte Drehung der Atome um ihre jeweiligen Bindungen und macht die Flexibilität des Moleküls aus.
Neben ihren besonderen mechanischen Eigenschaften zeigen die Moleküle meist keine toxischen Eigenschaften. Sie eignen sich daher für eine Anwendung in der Kosmetik, in Waschmitteln und Entschäumern. Vor allem aber werden Sie in Kleb- und Dichtstoffen sowie als Hydrophobierungsmittel in der Bauindustrie eingesetzt.

Welchen Winkel spannen die Si-O-Si Atome in einem Polydimethylsiloxan? (ABC°)
Welchen Winkel spannen die O-Si-O Atome in einem Polydimethylsiloxan? (DEF°)
Um die einzelnen Moleküle zu beschreiben, wurde für die Siloxanbausteine eine eigene Nomenklatur entwickelt, welche aus nur einem Buchstaben besteht.

Finde die Bezeichung für folgende Bauteile und wandle sie entsprechend A=1 usw. in Zahlen um



N 51° 17.(I-G)(I/2-B)(I/H)
E 013° 2B.(G-H)(H-D-E)(B+A)

Deine Lösung für die Koordinaten dieses Rätsels kannst du hier überprüfen.

Happy Finding!

 Benutzer-URL

Add cache to watch list
Log your visit
Picture Gallery

 Benutzerdefinierte Daten

FavoriteByMe: 1

 Nahe Geocaches

GC9XWRV Wandern im Golkwald #1 (9,01 km S)
GC9XWTF Wandern im Golkwald #2 (9,01 km S)
GC9XWTQ Wandern im Golkwald #3 (9,02 km S)
GC9XWVW Wandern im Golkwald #4 (9,02 km S)
GC9XWWP Wandern im Golkwald #5 (9,03 km S)

 Logs

26 Logs: Gefunden 25  Notiz 1  

Notiz 02.10.2025 Von Dr.Dingens (Gefunden=33514 Versteckt=181, Stand: 09.04.2026)
Leider kann ich die Runde nicht weiter warten.
Daher werden die Dosen in naher Zukunft deaktiviert und archiviert.

Gefunden 25.07.2025 Von N!bbler (Gefunden=5740 Versteckt=13, Stand: 09.04.2026)
Chemie ist nicht ganz so meins, doch mit etwas Recherchearbeit war es dann doch machbar dieses Rätsel zu knacken. Als dann nun plausible Koordinaten auf dem Papier standen und der Checker grünes Licht gab, konnte es gemeinsam mit meiner lieben HerrErnst18 zum Versteck gehen.
Ganz in der Nähe gab es einen Stellplatz und von da begaben wir uns zur Dose. Diese tarnte sich doch recht gut, so brauchten wir erst einen Perspektivwechsel um fündig zu werden. Gemeinsam verewigten wir uns im Logbuch und packten alles wieder sauber zurück.

Vielen Dank für diesen Mystery-Cache, der mich an vergangene Tage erinnert.

Gruß N!bbler

Track this Log: EC0Z8D
Ab 1.1.2025 begleitet mich Pittiplatsch von Cache zu Cache. Er ist Trackbar mit folgenden Code: LLHWD1

Gefunden 21.06.2025 Von Team_Cassiopeia (Gefunden=16829 Versteckt=47, Stand: 09.04.2026)
Auf dem heutigen Programm stand Zeithain und Umgebung. Am Ende des Tages wurden nicht nur Tradis und Multis signiert, sondern auch ein paar Mysteries.

Vielen Dank an fräulein_bezaubernd für's Legen, Pflegen und Herführen zum Cache ' Silicium #12' sagt
Team_Cassiopeia

Gefunden 23.02.2025 Von squib293 (Gefunden=2484 Versteckt=0, Stand: 09.04.2026)
Gelöst war das Rätsel schon lange, heute beim außeneinsatz ging es ganz schnell, begleitet vom gülleduft. Tftc

Gefunden 24.01.2025 Von TkMax99 (Gefunden=2344 Versteckt=1, Stand: 09.04.2026)
Heute ging es zu diesem Ziel GC6PBCB - Silicium #12, in TEAmstärke, um diesen Geocache / Event zu (be-)suchen.

Es ist immer wieder spannend, was mich / uns so erwartet und wir wurden bisher nicht enttäuscht.
Auch an diesen Ort wurden wir überrascht, ohne dieses tolle Hobby, während wir j schließlich eher selten hingekommen.

Vielen Dank für meinen nun 1961 gefundenen Cache! Ein großes Dankeschön geht an den/die Owner fräulein_bezaubernd, ohne die dieses tolle Spiel nicht möglich wäre.

Vielen Dank fürs Legen, Pflegen und die damit verbundene Arbeit!

Happy Caching!

Gefunden 24.01.2025 Von FrostByte24 (Gefunden=2213 Versteckt=20, Stand: 09.04.2026)
Heute machte ich eine Tour durch Mitteleuropa mit dem CM und dem E-MTB. Im TeaM gelöste Aufgaben oder Einzelleistungen wurden vor Ort gesucht und dann erfolgreich geloggt und gefreut haben wir uns auch ??????

Heute ging es, aber manchmal dauerte es etwas länger. Falls etwas besonderes geschah, dann folgt es hier: /

Vielen Dank an fräulein_bezaubernd ???? für den GC6PBCB Silicium #12 und somit meinen 1824 Fund ?? ??

Thanks for that Cache ? Merci pour la Cache ? Dzieki za Cache ? Grazie per questo Cache ? Takk for at Cache ? Obrigado por isso Cache ? Gracias por el Cache ? Díky za keš ? Aciu už ta talpykla ? Önbellek için tesekkürler ? Köszönjük, hogy a cache ? Bedankt voor de cache ?

Gefunden 31.10.2024 Von kirschenABG (Gefunden=28840 Versteckt=52, Stand: 09.04.2026)
Das Feiertagswetter lud zu einer kleinen Tour durch die Natur ein.
Unser heutiges Ziel war Riesa. Dort wartete die schon seit langem gelöste Silicium-Runde auf unseren Besuch. So ging es kurz entschlossen in diese Richtung und wir waren am frühen Morgen fast allein auf den Straßen. Die Halloweenpartys starten ja erst am Abend.
Die gewählte Runde wurde im Mai 2024 das letzte Mal besucht und wir hatten gar nicht damit gerechnet, die Dosen vor Ort zu finden. Aber alles bestens, alle Dosen konnten aus ihrem Verstecken gelockt werden.
Nach dem Eintrag im Logbuch ???? wurde alles wieder so versteckt, wie wir es vorgefunden haben.

Danke fürs Verstecken und Grüße von den kirschenABG ??

Gefunden 21.06.2024 Von greddler (Gefunden=17226 Versteckt=75, Stand: 09.04.2026)
Viele der Silicium-Mysterys konnte ich bereits vor einiger Zeit finden. Heute war ich wieder zum familiären Besuch in der Gegend und da bis zum Abendessen noch Zeit war, ging's noch fix zu zwei der bisher ungefundenen. Hier musste ich zwar etwas durchs hohe, nasse Gras stapfen, aber dann fand ich das Döschen recht schnell und so steht mein Eintrag nun auch in diesem Logbuch.
Danke für die interessante Aufgabe und für's Herlocken und Verstecken vom greddler.

Gefunden 24.05.2024 Von cathda (Gefunden=53061 Versteckt=58, Stand: 09.04.2026)
Gern folgte Herr cathda der Einladung von Herrn Cachewurm, heute eine gemeinsame Tour Richtung Meißen zu unternehmen, denn der Multi "Reblaus-extendet" war für Herrn Cachewurm sehr interessant ??.

Dabei wurde nun endlich diese schon längst gelöste Silicium-Runde besucht und die Logbücher signiert.

Danke fürs Rätseln, Herlocken und Zeigen. ??

Gefunden 24.05.2024 Von Cachewürmer (Gefunden=66378 Versteckt=359, Stand: 09.04.2026)
Gemeinsam mit Herrn cathda ging es heute in die Umgebung nördlich von Meißen. Lockvogel war der Multicache "Reblaus - extended", der zumindest uns Cachewürmern noch als letzter Versteckmonat fehlte für die Erfüllung der Sachsen-Jasmer-Challenge. Im Anschluss bespielten wir nun endlich mal die Silicium-Reihe, deren Rätsellösungen tatsächlich schon Jahre im cgeo-Speicher schlummern.
So durften wie auch hier das Büchlein signieren.

In : Favoritenpunkt

??????????????????
??Vielen Dank sagen??
?? die Cachewürmer ??
??????????????????
Foto

Gefunden 05.04.2024 Von DaRue86_Krissy_DD (Gefunden=21310 Versteckt=132, Stand: 09.04.2026)
Heute ging es erst in Richtung Priestewitz um ein FTF Versuch zu starten, 2 Stunden nach den Publish. Dieses gelang mir, anschließend ging es zu den benachbarten Runden / teils mit Auto und teils mit dem E-Roller.
So startete ich bei "und wieder NICHTS" und anschließend schreitete ich die Tour fort.
Nachdem dieses alle ganz gut gefunden wurden, auch mit der erneuten Zurückfahrt zum Auto, bzgl. der ECA ging es in den Golkwald um diesen endlich mal zu besuchen.
So packte ich den E-Scooter erneut aus um die Tour in einer Stunde durchzuboxen. Hier wurde ich mehr oder weniger (schnell) fündig. In einer Ecke fanden Forstarbeiten statt, so dauerte manche Suche etwas länger an.
Nachdem diese Runde geglückt war ging es in Richtung Leckwitz um mal einige Tradis und auch mal endlich vereinzelte der Silicium Runde einen Besuch abzustatten. Denn einer war dabei, da war gerade Baustelle, hätte zwar heute kaum einen gestört, aber irgendwelchen Stress, wollte ich mir auch nicht antun.

So kam eine ganz schöne Summe zusammen inkl. einen Lab an der Elbe und
bedanke mich bei allen beteiligten Ownern.

Vielen Dank für den Cache.

Gefunden 05.04.2024 Von Bergwaldis (Gefunden=8390 Versteckt=0, Stand: 09.04.2026)
Mit den anspruchsvollen Rätseln hatte ich mich schon an kalten Wintertagen beschäftigt. Durch intensive Recherche konnte ich die meisten lösen. Diese sollten heute mal eingefangen werden. Es war eine schöne Tour an der Elbe und rund um die Fa. Wacker. Gern haben wir unser Signum im Gästebuch hinterlassen. Vielen lieben Dank fürs Ausdenken des interessanten Rätsels und das Legen und Pflegen des Caches! Hier lassen wir gern einen Favi zurück!

Gefunden 02.03.2024 Von SR1992 (Gefunden=15017 Versteckt=123, Stand: 09.04.2026)
Heute ging es wieder in größerer Gruppe als Team DDGX (2 Erdmännchen, dorkteam6, DaZween, Prinzphillipp1, DATO1, Fjala und ich ) auf Tour.
Alle Dosen konnten gut gefunden werden.
Danke und viele Grüße
SR1992

Gefunden 02.03.2024 Von Prinzphillipp1 (Gefunden=7633 Versteckt=10, Stand: 09.04.2026)
Heute ging es wieder im Team DDGX auf Dosenjagd.

Mit dabei waren heute 2Erdmännchen,SR1992,Dorkteam6,Fjala,DaZween, DATO1 und wir Prinzphillipp1. Dabei haben wir platzsparend als Team DDGX die Logbücher signiert.

Diese Dose konnte sich nicht lang vor uns verstecken.

Vielen Dank für den Cache ????

Gefunden 02.03.2024 Von 2 Erdmännchen (Gefunden=18394 Versteckt=219, Stand: 09.04.2026)
Heute ging es wieder als Team DDGX auf Tour.

Bestehend aus 2 Erdmännchen,SR1992,Dorkteam6,Prinzphillipp1,Fjala,DaZween und DATO1 haben wir platzsparend als Team DDGX die Logbücher signiert.


Vielen Dank für diese Art von Cache,
beste Grüße aus Dresden-West.

2 Erdmännchen

Frank

Gefunden 23.07.2023 Von Ger-Bi (Gefunden=53634 Versteckt=39, Stand: 09.04.2026)
Schon lange schlummern die gelösten Ergebnisse der Silicium-Serie auf der Besuchsliste und da der verkehrsarme Sonntag wieder einmal zu einer längeren Ausfahrt ermunterte, zog es uns Erzgebirger in Richtung Riesa. Den empfohlenen Parkplatz haben wir für das CM genutzt und sind dann die "Wackerer Runde" gelaufen. Auf der Runde konnten alle Döschen mit dem Eintrag ins Besucherbuch abgeschlossen werden und der Suchaufwand hielt sich auch in Grenzen, nur die Vegetation war ein wenig nervig.

Wir bedanken uns für die lösbaren Rätsel und fürs Legen und Pflegen der Serie und senden viele Grüße aus dem Erzgebirge.

Gefunden 22.07.2023 Von Sausewind96 (Gefunden=4223 Versteckt=0, Stand: 09.04.2026)
Dieses Rätsel hat mir auch Freude gemacht und meinen Horizont erweitert. Heute wurden die gelösten Rätseldosen gesucht. Hier wurden wir schnell fündig. Drei Rätsel warten noch auf einen Geistesblitz und zu einer Dose haben wir keinen legalen Weg gefunden. Wir kommen aber wieder. Für die Runde bisher mit den vielen spannenden Informationen gebe ich gerne einen blauen Favoritenpunkt. Danke für die Mühe, das Verstecken und Pflegen.

Gefunden 09.07.2023 Von rdjohne (Gefunden=11257 Versteckt=50, Stand: 09.04.2026)
Wir haben heute eine Cache-Tour mit dem Rad in und um Nünchritz unternommen.
Einige Rätsel der Si-Reihe haben wir nach und nach gelöst. Danke fürs Herführen.

Gefunden 30.06.2023 Von RB2009* (Gefunden=27185 Versteckt=224, Stand: 09.04.2026)
Auch dieses Rätsel hätte ich alleine nicht geknackt..... ein paar Infos beim Event haben aber geholfen.
Heute ging es zur finalen Dose - um die Wheel of Challenges zu erfüllen. ??
Alles bestens hier.
Danke an fräulein_bezaubernd fürs legen und pflegen.
Beste Grüße aus Südbrandenburg Elbe-Elster Kreis.

Gefunden 08.05.2023 Von Drahtbeen84 (Gefunden=20132 Versteckt=170, Stand: 09.04.2026)
Wunderbares Wetter zum cachen also ging es heute mal wieder raus an die frische Luft.

Heute ging es Mal in diese schöne Gegend wo ein paar gelöste Fragezeichen, noch nicht lachende Multigesichter und auch Tradis auf dem Plan standen.

Auch dieser Mystery stand mit auf dem Plan. Im Vorfeld beschäftigte ich mich natürlich auch mit diesem Rätsel :-). Das Rätsels Lösung war nach kurzer Zeit klar und so standen auch hier plausible Koordinaten auf dem Monitor:-).

Heute ging es dann auch mal zum Außeneinsatz und wo es immer näher Richtung Nullpunkt ging wurde schon so langsam mal die Umgebung angeguckt um eventuelle Versteckmöglichkeiten zu erkunden. Am point Zero angekommen war dann auch nach kurzer Suche das passende Versteck gefunden :-). Nun wurde noch das Logbuch aus der Dose befreit und um eine Logbucheintrag reichen gemacht. Jetzt wurde alles wieder in den Vorgefunden Zustand gebracht, und nun ging es auch auf zum nächsten Cache.

TFTC an fräulein_bezaubernd Für die Pflege und die damit verbundene Arbeit für Silicium #12 und für den Fund bedankt sich DRAHTBEEN84

Gefunden 23.10.2022 Von Priesbergalm (Gefunden=28085 Versteckt=1, Stand: 09.04.2026)
Die teilweise mehr als knackigen Rätsel wurden schon vor längerer Zeit gelöst, heute sind wir endlich mal Richtung Nünchritz gefahren, um die 12 Dosen zu finden. In alle Logbücher konnten wir uns erfolgreich eintragen, wofür ich an Nr. 1 und 12 gern einen Favi zurücklasse.
Danke fürs rätseln, herlocken, legen und pflegen sagt Priesbergalm aus DD ...

Gefunden 23.10.2022 Von Basteiblick (Gefunden=28085 Versteckt=1, Stand: 09.04.2026)
Der heutige Tag versprach angenehmes Herbstwetter und so ging es mit Priesbergalm in Richtung Nünchritz. Unser Ziel waren die Finaldosen der SiliciumRunde. Im letzten Winter wurden die Rätsel dazu so nach und nach gelöst. War nicht immer einfach, Chemie war nie meins, aber mit Tante G war es irgendwann geschafft. Wir konnten alle Döslein finden und die Logbücher signieren. Einen Abstecher gab es auf unserer Tour noch zum Lab "Spaziergang an der Elbe". Dort war es sehr schön. Auch einige Tradis wurde mit besucht. Wir hatten einen abwechslungsreichen Cachetag in einer schönen Umgebung.
Fürs austüfteln der Rätsel und fürs legen und pflegen dieser Runde sage ich Dankeschön, Basteiblick aus DD. Bei #1 und #12 gebe ich gern einen Favi.

Gefunden 24.08.2022 Von roanbo (Gefunden=15573 Versteckt=1, Stand: 09.04.2026)
Nach und nach waren die einzelnen Mysteries gelöst und ich konnte hier in der Fahrradgegend eine schöne Runde planen.
Heute ging es schon sehr zeitig auf diese Tour und konnte die Caches anfahren.
Die Verstecke waren alle ohne langes Suchen zu finden, so macht es Spaß.
Ich bedanke mich für die vielen Rätsel, fürs Herlocken und Verstecken.

Gefunden 08.08.2022 Von Walli471 (Gefunden=5665 Versteckt=0, Stand: 09.04.2026)
Gemeinsam mit SchnattiQ7 eine schöne Runde rund um Nünchritz und Glaubitz gedreht und dabei den ein und anderen Cache eingesammelt. Viele Tradis waren dabei aber auch ein paar Mysterys der Silicium Runde. Alles in allem hat es viel Spaß gemacht. Vielen Dank für's verstecken. Gruß Walli471

Gefunden 08.08.2022 Von SchnattiQ7 (Gefunden=6097 Versteckt=0, Stand: 09.04.2026)
Die richtigen Finalkoordinaten dazu hatte Walli471 im Gepäck und heute bei einer gemeinsamen Runde diesen kleinen gesucht und gefunden. Danke fürs herlocken. Gruß SchnattiQ7

Gefunden 02.06.2019 Von Thomi1669 (Gefunden=3853 Versteckt=85, Stand: 09.04.2026)
Diese Reihe teilweise anspruchsvoller Rätsel wurde durch Ellipirelli47 und mich schon in der dunklen Jahreszeit gelöst und heute konnten wir uns endlich zum Einsammeln verabreden und mit Simi61 und meiner besseren Hälfte bei schönstem Sommerwetter starten.

Alle Dosen waren gut und sicher zu finden, der Weg führte uns weiträumig rund um das Chemiewerk, dabei gab es die eine oder andere interessante Sicht auf das Gelände.

Wie Ellipirelli47 bereits schrieb, war das klimatisierte CM bei der einen oder anderen Station eine angenehme Hilfe bei der Hitze heute.

Danke für die Rätsel, das Herführen und viele Grüße an "fräulein_bezaubernd"

Hier an der letzten Station lasse ich stellvertretend für alle Caches der Serie einen Favi da.